Tom de Jong

Postdoc at the University of Nottingham working on type theory. PhD from the University of Birmingham. Mathematician, computer scientist and runner.

de_Jong_Tom shared a status by jonmsterling
Jon Sterling
jonmsterling@mathstodon.xyz

A while ago, @MartinEscardo pointed me to a great note by Thierry Coquand on singletons: https://www.cse.chalmers.se/~coquand/singl.pdf

“A remark on singleton types”

There is a very inspiring anecdote of Serre quoted in the final section, and the upshot is that one way to prove difficult things in algebraic topology (and homotopy type theory!) is to try to set things up in terms of types are are contractible as much as possible.

It is not always easy to do this, but it really works.

I'm extremely happy to say that, thanks to this suggestion, I have finally removed the stupid 0-truncation side condition for my LICS 2025 result and now have a fully coherent proof in Agda of the extension property. I need to clean it up still, and find a way to convey in Human language how the proof works.

5 days ago
Tom de Jong
de_Jong_Tom@mathstodon.xyz

@chrisamaphone
To link the formalization to the paper, I
(1) create an index Agda file that mirrors the paper structure, see e.g. https://cs.bham.ac.uk/~mhe/TypeTopology/Ordinals.Exponentiation.Paper.html
(2) tag the environments of the paper with a hyperlink to the corresponding point in that index file, see e.g. the cogwheel symbols in https://arxiv.org/pdf/2501.14542v4

5 days ago
de_Jong_Tom shared a status by mevenlennonbertrand
Meven Lennon-Bertrand
mevenlennonbertrand@lipn.info

Now that the acceptance is final and the whole social media embargo is down, I'm really proud to share that our paper “AdapTT: Functoriality for Dependent Type Casts” with @BeLazy , Thibaut Benjamin and Kenji Maillard has been officially accepted at POPL'26! (Preprint here: https://arxiv.org/abs/2507.13774, soon to be updated with a more polished version).

What started as an attempt at having a clearer notion of functoriality for inductive types ended up as a rather deep dive into what should be a good notion of type-casting for dependent type theory (spoiler: it's surprisingly close to what comprehension categories have been doing for a long time), very naturally (!) led to some fun 2-category theory, all to build solid foundations on which to construct our functorial inductive types. All in all, I'm really happy about how this whole thing turned out! There are still many threads to follow and some parts are more polished than others, but I'm quite excited to see these develop in the near future. Stay tuned!

And @pigworker @fnf I hope you won't mind us re-using your name and pushing adapters further :)

November 07, 2025
de_Jong_Tom shared a status by MartinEscardo
Martin Escardo
MartinEscardo@mathstodon.xyz

In this thread, I'd like to (re)advertise my MGS'2019 lecture notes "Introduction to Univalent Foundations of Mathematics with Agda"

https://martinescardo.github.io/HoTT-UF-in-Agda-Lecture-Notes/HoTT-UF-Agda.html#contents

In the lengthy Introduction, I explain how univalent foundations differ from set-theoretical foundations. And I also give a lot of references after this discussion.

Then, in Chapter 2, we explain Martin-Löf Type Theory (MLTT) in Agda notation, at the same time as I introduce Agda.

The main point of the lecture notes is that we work in a deliberately Spartan Martin-Löf Type Theory, for foundational reasons.

And, also, we work in a deliberately spartan subset of Agda, this time both for foundational reasons **and** teaching purposes.

Chapter 2 develops a lot of foundational things, including universes, one-element type, empty type, the type of natural numbers, the binary sum type constructor, Σ-types and their uses, Π-types and their uses, the identity type, reasoning with negation, Peano axioms, and more.

1/

November 01, 2025
de_Jong_Tom shared a status by jonmsterling
Jon Sterling
jonmsterling@mathstodon.xyz

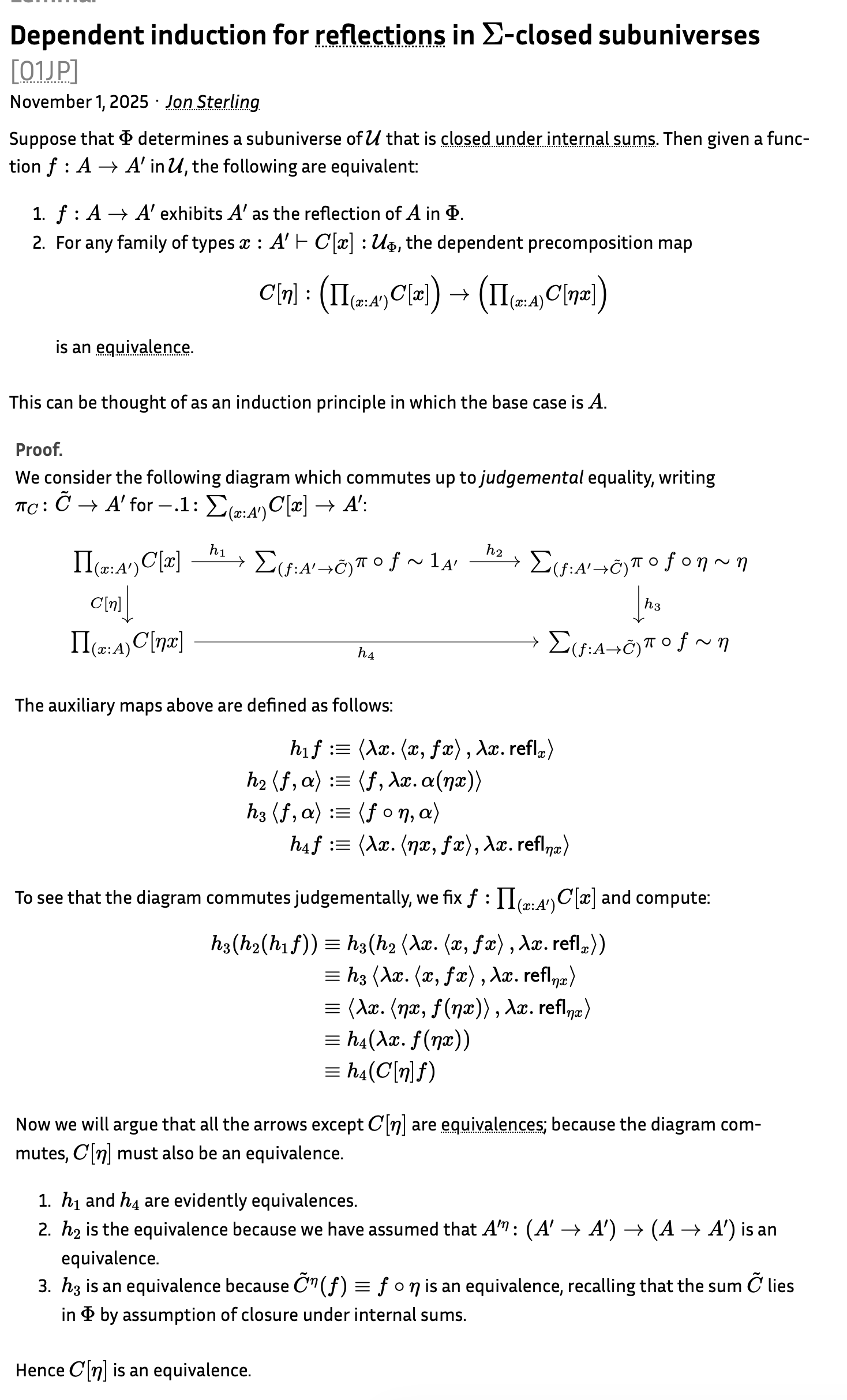
Allow me to once again advertise @de_Jong_Tom’s “Formalizing equivalences without tears”: https://arxiv.org/abs/2408.11501

I just used this technique to give a really simple proof that reflections in a Σ-closed subuniverse satisfy a *dependent* orthogonality law. In the critical step, there is a big diagram that commutes up to judgemental equality.

(Sorry for typos if some remain.)

November 01, 2025
de_Jong_Tom shared a status by egbertrijke
Egbert Rijke
egbertrijke@mathstodon.xyz
October 31, 2025
de_Jong_Tom shared a status by CatoTheYoungest
Cato 🎃🍂
CatoTheYoungest@corteximplant.com

This question is for those who specialized in theoretical computer science and left academia at some point:
What to you do as a paid job now?

Edit: The "theoretical" is important.

#ComputerScience

October 31, 2025
de_Jong_Tom shared a status by mortberg
Anders Mörtberg
mortberg@mathstodon.xyz

In the early 1950s Jean Pierre Serre proved a remarkable result establishing that the homotopy groups of spheres are all finite except for a few special cases. A synthetic proof in HoTT of this landmark result was announced by Reid Barton and Tim Campion in 2022. This quickly inspired Axel Ljungström and myself to team up with Reid Barton and Owen Milner on an extensive project to formalize the proof in Cubical Agda. Loïc Pujet later also joined and formalized the theory of CW complexes and cellular homology with Axel. We recently finished the formalization of the theorem: https://github.com/CMU-HoTT/serre-finiteness/blob/main/SerreFinitenessTheorem.agda#L277

The formalization is over 20k lines of new Cubical Agda code (so not counting what was already in the library) and one interesting point is that the proof is fully constructive, so we should *in principle* be able to compute a finite presentation of any homotopy group of any sphere by normalization in Agda (i.e., a finite sequence of integers (r,r₁,...,rₙ) s.t. π_k(S^m) is isomorphic to ℤʳ × ℤ/r₁ × ⋯ × ℤ/rₙ). However, Agda has so far not been able to compute anything for us, which is maybe not so surprising in light of the difficulties we have had with computing the Brunerie number... :-)

For more details see @ljungstrom's HoTTest seminar about it from last week: https://hottest-seminar.github.io/

October 29, 2025
de_Jong_Tom shared a status by jesper
Jesper Agdakx 🔸
jesper@agda.club
The 2026 Netherlands Winter School on Logic and Verification will take place Tuesday 20-Friday 23 January, 2026 at University of Twente. The school provides classes for PhD/graduate students in theoretical computer science, with a focus on software verification, logic, and type theory. Strong master students, as well as researchers and practitioners, are equally welcome. Participants are expected to have a background in theoretical computer science, mathematics or a related discipline at a master’s level, and have basic familiarity with (functional) programming, semantics, and logic.

cyclic-structures.gitlab.io/school2026/

Please consider registering! If you're a PhD student registered with the IPA school it will (very likely) be possible to get the costs reimbursed, but anyone with their own funding is welcome too.

#Logic #Verification #TypeTheory #CategoryTheory #Coinduction #SessionTypes #Concurrency #Rocq #Agda #Iris
October 29, 2025
Tom de Jong
de_Jong_Tom@mathstodon.xyz

@MartinEscardo is turning 60 this year! In celebration, Eric Finster and I are organizing a two-day workshop on 17-18 December 2025 at the University of Birmingham.
https://tdejong.com/mhe60

The full list of over 20 invited speakers can be found on the website and reflects Martín's diverse contributions to constructive mathematics, domain theory, locale theory, logic, topology and homotopy/univalent type theory.

The workshop is co-located with the Midlands Graduate School (MGS) Christmas Seminar on 16 December 2025 and will support remote participation.

If you would like to attend (in person or remotely), please register by
*21 November 2025* by completing this form:
https://forms.cloud.microsoft/e/4GgaZHTxad

October 24, 2025
de_Jong_Tom shared a status by Nicolai_Kraus
Nicolai Kraus
Nicolai_Kraus@mathstodon.xyz

Event advertisement: The first meeting of the network "Higher Structures in Category Theory, Homotopy Theory and Type Theory" will take place on 19 November 2025 in Nottingham:

https://sites.google.com/view/higherstructures/meetings

Everyone is welcome to attend this one-day (in-person only, sorry) workshop. For planning purposes, please complete the (free) registration form available at the link above. There is an option to submit a title and abstract for a contributed talk.

Deadline for registration and submitting contributed talk proposals: 5 November 2025

Invited speakers:
Leonard Guetta, Utrecht University
Nima Rasekh, University of Greifswald

Titles and abstracts, together with more information about the workshop, can be found at the link above.

October 22, 2025
Tom de Jong
de_Jong_Tom@mathstodon.xyz

The extended version of our LICS'25 paper, titled Constructive Ordinal Exponentiation, is now on arXiv. It has two new sections (Section 6 and 8) on ordinal arithmetic. Everything is formalized in Agda and merged into @MartinEscardo's TypeTopology repository.
https://arxiv.org/abs/2501.14542v5

This joint work with @fnf, @Nicolai_Kraus and Chuangjie Xu.

#TypeTheory #logic #Agda

October 22, 2025
de_Jong_Tom shared a status by jdchristensen
Dan Christensen
jdchristensen@mathstodon.xyz

This week the #HoTTEST seminar presents:

Axel Ljungström

A formalisation of the Serre finiteness theorem

The talk is at 11:30am EDT (15:30 UTC) on Thursday, October 23. The talk will be 60 minutes long, followed by up to 30 minutes for questions. See https://hottest-seminar.github.io/ for the Zoom link and a list of all upcoming talks.

All are welcome!

Abstract:

The central claim of the Serre finiteness theorem is that homotopy groups of spheres are finitely presented. Remarkably, this theorem can be proved constructively in HoTT. A particular consequence of this is that we get a completely synthetic proof of Brown's result that we, at least in theory, can compute (in the computer scientist's sense of the word) any homotopy group of any sphere! The HoTT proof of the Serre finiteness theorem, which is due to Barton and Campion, quickly inspired the launching of a rather extensive formalisation project, with the end-goal of verifying Barton and Campion's proof in Cubical Agda. About a month ago, this formalisation was finally completed.

In this talk, I'll give a rough outline of the Barton and Campion's proof. In my presentation, I will try to follow the timeline of the formalisation project and emphasise whenever the formalisation actually ended up leading to simplifications of the original pen-and-paper proof. I will also take the opportunity to mention some recent work on CW complexes which turned out to play an important role in both the formalisation and the pen-and-paper proof of the theorem.

This is joint work with Reid Barton, Owen Milner, Anders Mörtberg and Loïc Pujet.

#HoTT @carloangiuli @emilyriehl @ljungstrom

October 21, 2025
de_Jong_Tom shared a status by heades
Harley Eades
heades@hci.social

TYPES 2026 CFP is out! Check it here: https://types2026.cse.chalmers.se/call-for-contributions.html

This is always a really cool venue to submit to.

October 21, 2025
de_Jong_Tom shared a status by noamzoam
Noam Zeilberger
noamzoam@mathstodon.xyz

Are you a PhD student registered in a US institution and interested in conducting part of your doctoral research (4-9 months) in France? Then consider applying for a Chateaubriand Fellowship! https://chateaubriand-fellowship.org/

October 17, 2025
de_Jong_Tom shared a status by ljungstrom
Axel Ljungström
ljungstrom@mathstodon.xyz

My paper with @dwarn on Steenrod squares in HoTT is now up, in its final form, in the LICS 2025 proceedings. We won both the Kleene award and distinguished paper for this one! Read it (and then explain to us how to construct higher Steenrod powers).

https://ieeexplore.ieee.org/document/11186282

October 17, 2025
Tom de Jong
de_Jong_Tom@mathstodon.xyz

@ToucanIan I've been happily using https://phanpy.social/?lang=en both on my phone and my laptop, after a post by @jdchristensen. Maybe give that a try?

October 16, 2025
de_Jong_Tom shared a status by pamorim
Pedro Amorim
pamorim@mathstodon.xyz

I'm looking to hire a PhD student to join my group at the University of Bath to work on topics such as categorical logic, programming language theory or categorical probability theory. Here's a description of the position https://pedrohaa.github.io/phd@Bath.pdf . The student is not expected to be well-versed in any of these topics by the time they start their PhD, but should have enough mathematical maturity to be able to learn them throughout their PhD.

The department of Computer Science at the University of Bath has a very active, and expanding, theory group — four new lecturers have been hired over the last year. The position is fully funded for the entire duration of the program (3.5 years) and open to international as well as home students, meaning both tuition fees and a living stipend are covered. The student is expected to start the program in September 2026.

The application deadline is 15/Dec/2025. If this position interests you, please reach out to me.

Reposts are appreciated :)

October 16, 2025
de_Jong_Tom shared a status by thomaspowell
Thomas Powell
thomaspowell@mathstodon.xyz

Our Mathematical Foundations of Computation group at Bath is advertising a number of PhD projects. Here are the project titles and supervisors (lead supervisor listed first):

*Conceptual Denotational Semantics via Categorical Logic*
(Pedro Henrique Azevedo de Amorim, Guy McCusker)

*Expressiveness and complexity in proof systems*
(Raheleh Jalali Keshavarz, James Davenport)

*Proof Mining: Applications of Proof Theory to Mathematics*
(Nicholas Pischke, Thomas Powell)

*Formalizing aspects of physics into interactive theorem provers*
(Joseph Tooby-Smith, Guy McCusker)

*Tropical Quantifier Elimination with Real Implications*
(Ali Uncu, James Davenport)

All the official ads can be found here: https://www.findaphd.com/phds/department-of-computer-science/?c0061M40

October 13, 2025
Tom de Jong
de_Jong_Tom@mathstodon.xyz

@rzeta0 It directly encodes the elimination rule of the existential quantifier (https://en.wikipedia.org/wiki/Natural_deduction#First_and_higher-order_extensions) which says that you can prove Q from ∃x P(x) if you can prove Q from some element x and a proof of P(x).
This encoding quantifies over all such Q (renamed α) and says, if you have x : S and you can prove Q if you also assume P x, then you can prove Q.

Exercise: Given x : S and p : P x, construct an element of Πα : ∗. ((Πx : S. (P x → α)) → α).

October 10, 2025